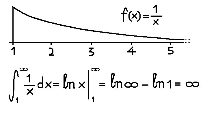
Si le pidiéramos a un pintor que pintara una pared definida por la función f(x) = 1/x y el eje x, donde se supone que x es mayor o igual que 1, no podría reunir la cantidad de pintura necesaria para ello en toda su vida. Al calcular el área del recinto limitado por la curva f y el eje x, desde x=1 hasta el infinito, resulta un área infinita:
Pero, cosa curiosa, si giramos dicha función en torno al eje de abscisas, se obtendría una especie de "trompeta" que nuestro amigo el pintor sí podría rellenar de pintura. Al calcular el volumen del cuerpo de revolución engendrado por la curva al girar alrededor del eje x, desde x=1 hasta el infinito, resulta un volumen finito de 3'14 unidades cúbicas:
<Fuente: http://joselorlop.blogspot.com.es/2015/12/704-una-trompeta-para-pintar-resolucion.html>

